パーレー法の検証
パーレー法をシミュレーション検証します。
シミュレーターで検証(パーレー法)
■パーレー法とは
パーレー法(Paroli Method)、別名「逆マーチンゲール法」とは、ギャンブルにおけるベッティングシステムの一つです。バカラやルーレットの赤黒等、的中確立が約1/2程度なら儲かる仕組みになっています。
勝利時は賭け金を倍に増やし、負けた場合は元の額に戻す戦略です。この方法は、短期間での利益を狙いつつ、損失を最小限に抑えることを目的としています。
勝つたびに賭け金を倍にするギャンブル戦略
■賭け方
配当が2倍以上のゲームで、1ベットからスタートして当たり続けてる限り次回は倍額をベットします。
ハズレで終了し、また1からに戻ります。
【パーレー法早見表】※配当は2倍とする
| 連勝 | ベット額 | 勝利時配当 | 通算投資額 | 利益 |
| 1 | 1 | 2 | 1 | 1 |
| 2 | 2 | 4 | 1 | 3 |
| 3 | 4 | 8 | 1 | 7 |
| 4 | 8 | 16 | 1 | 15 |
| 5 | 16 | 32 | 1 | 31 |
| 6 | 32 | 64 | 1 | 63 |
| 7 | 64 | 128 | 1 | 127 |
| 8 | 128 | 256 | 1 | 255 |
| 9 | 256 | 512 | 1 | 511 |
| 10 | 512 | 1024 | 1 | 1023 |
■パーレー法のシミュレーション方法
・ゲームはヨーロピアンスタイルのルーレット(0〜36)とします。
(オッズが2倍以上なら、競馬や競艇でも可)
・ハイロー(ロー:1〜18、ハイ:19〜36にベットする方法)でローにベットしたとします。
配当は2倍。(1〜18で勝利 ※確立約48.6%)
・ゲーム回数は1000ゲーム。1000ゲーム時点でサイクルが途中でも強制終了。
・ハズレるまでを1サイクルとします。
※特別ルールとして今回は5連勝または10連勝を目標連勝とし、目標到達でサイクルをリセットするようにしました。(どこかでリセットしないと絶対にどこかで外れて、必ず負ける為)
毎回結果が変わります。結果ページのF5:再表示でも可。
シミュレーター項目説明
※シミュレーション結果、または結果を利用したグラフ等をホームページに掲載される場合は、引用元の紹介とリンクを掲載をしていただけると非常に嬉しいです。
■パーレー法の検証結果グラフ
●勝利回数:518回 ●5連勝回数=23回
●最終収支:232 ●最小収支:-86 ●最大収支:266
●勝利回数:464回 ●5連勝回数=7回
●最終収支:-319 ●最小収支:-329 ●最大収支:35
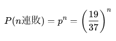
20連敗までの確率と投資額
■計算条件:ヨーロピアンルーレットのハイロー
■計 算 式:負ける確率をPとすると、n連敗の確率は以下

【パーレー法 20連敗早見表】
| 連敗数 | 確率(%) | ベット額 | 通算投資額 |
| 1 | 51.35 | 1 | 1 |
| 2 | 26.36 | 1 | 2 |
| 3 | 13.53 | 1 | 3 |
| 4 | 6.94 | 1 | 4 |
| 5 | 3.56 | 1 | 5 |
| 6 | 1.83 | 1 | 6 |
| 7 | 0.94 | 1 | 7 |
| 8 | 0.48 | 1 | 8 |
| 9 | 0.24 | 1 | 9 |
| 10 | 0.12 | 1 | 10 |
| 11 | 0.06 | 1 | 11 |
| 12 | 0.03 | 1 | 12 |
| 13 | 0.02 | 1 | 13 |
| 14 | 0.01 | 1 | 14 |
| 15 | 0.006 | 1 | 15 |
| 16 | 0.003 | 1 | 16 |
| 17 | 0.002 | 1 | 17 |
| 18 | 0.001 | 1 | 18 |
| 19 | 0.0006 | 1 | 19 |
| 20 | 0.0003 | 1 | 20 |
感想とメリット・デメリット
|
サイクル中は手元からの支出額は最初の1ベットだけなので、1サイクルでのリスクは低いですが、目標連勝に達しない限り永遠にプラスにはなりません。連勝していても目標前にハズレると利益は必ずマイナス1。連勝できるかどうかで大きく結果が変わります。どこまでサイクルを続けるか、強運と倍々ベットできる勇気のある人向けですね。 |
【メリット】
- 手順が簡単ですくに覚えられる。
- 1サイクルの投資額が1ベットのみ。
- 目標連勝数を多くすれば大きい配当が期待できる。
【デメリット】
- 1/2でも大きな連敗はある。
- 1回の勝利では利益が確定しない。
- 連勝できる運が必要。
他の必勝法を検証
紹介オンラインカジノ一覧
|
記事:猫又
大学卒業後バックパッカーに。ヨーロッパやアメリカ、南米より東南アジアが好き。もともとギャンブルは苦手だったが記事作成で興味を持ち猛勉強。最近は記事作成だけでなく、PHPやJavaScript等のWEB技術にも興味有り。
|




